表面張力是表征液體表面性質的一個重要參數,它對表面物理研究、新材料研制和應用等方面有重要價值.表面張力的測量有多種方法,比較常用的有液滴法、氣泡法、拉脫法(吊環吊片法)和激光散射法等.傳統的拉脫法用焦利秤直接測量吊環(吊片)從液體中拉出所受的力,受到傳統測力方法的局限,測量精度不夠高.采用力敏傳感器將拉力轉變為電信號后,應用計算機數據采集系統,能完整記錄吊環(吊片)從液體中拉出過程中拉力變化的全過程,對分析測量過程,準確測量表面張力和計算不確定度都有很大作用.
本文介紹用測力傳感器和計算機數據采集系統測量純水表面張力的實驗裝置和測量結果.
液體表面具有自動縮小的趨勢,這種收縮力稱為表面張力.產生表面張力的原因是液體表面的分子與內部的分子所受力是不同的.在液體內部的一個分子受到周圍分子的作用力的合力為零;但在表面,由于上層窄間氣體分子對其吸引力小于內部液體分子對其吸引力,所以該分子所受合力不等于零,其合力方向垂直指向液體內部.吊環(吊片)法測量液體的表面張力將周長為z的環
形細絲浸于液面下,然后加外力F將細絲垂直上拉,拉出液面時,液體表面積就會增加,細絲Z上受到使液體表面積收縮的力,即為表面張力.平衡時F=mg+廠,mg為細絲重量.表面張力與細絲的長度成正比,方向垂直細絲指向液體內部.即:

圓環內、外直徑分別為D。、D。時,

系數盯定義為表面張力系數,單位N/m.它的大小與液體的性質、溫度、液體中所含雜質有關。
實驗中將金屬環掛在測力傳感器的掛鉤上,浸沒于液體中.然后漸漸拉起圓環,通過測力傳感器測量將金屬環拉出水面瞬間的最大拉力Fmax,由Fmax圓環自重mg和金屬環直徑求得液體的表面張力系數,

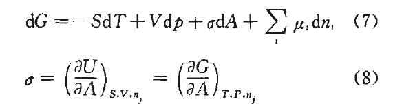
表面張力系數仃也可表示為增加單位表面積所做的功,單位為J/m2.把物質的液相、氣相和界面作為一個系統,當系統發生一個微小的可逆過程時,每相內能的變化為

式中,U為內能;T為溫度;S為熵值;μ為i物質的化學勢;,ni為組成為i物質的摩爾數.W為逆過程所做的功.在體積和界面積有變化的情況下

式中p、V、A分別為壓力、體積和表面積;σ為表面張力系數;σdA為表面張力作用下,表面積變化所用的功.負號表示在表面張力作用下,表面積有變小的趨勢.

TS+聲V表示如果勢函數用吉布斯(Gibbs)自電能G=U—TS+pV表示

d表示在一定的條件下每單位表面積改變時系統自由能的變化量,這種變化量就是表面張力所做的功.
摘自《液體表面張力的動態測量過程研究》,清華大學物理系,作者:張連芳、傅敏學、柯偉平
T60表面張力儀是采用氣泡壓力法為原理進行測量的,可測量靜態和動態的表面張力,且使用更為簡便